Ответы
Ответ дал:
1
Ответ:
Объяснение:
Линейное уравнение просто иксы в одну сторону, числа в другю.
Пример: x+3=0
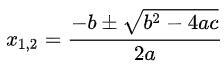
Квадратное уравнение решается формулой (формула на картинке)
Общий вид: ax^2+bx+c=0
Кубическое уравнение решается формулой Кардано.
Общий вид: ax^3+bx^2+cx+d=0
А для уравнений выше кубической не существует общей формулы. Поэтому приходиться хитрить.
Сперва я вынес x^3 за скобку.
После таким же макаром вынес x-2 за скобку.
А уравнение такого вида называются распадающимися. Они решаются лекго. Уравнение примет значение ноль если один из множителей ноль.
Либо x-2 ноль, либо x^3-1=0.
А их просто решили.
Приложения:

Вас заинтересует
2 года назад
2 года назад
2 года назад
9 лет назад