• Предмет: Алгебра
  • Автор: Аноним
  • Вопрос задан 10 лет назад

Решить второе пожалуйста срочно

Приложения:

Ответы

Ответ дал: Аноним
0
см. вложение
===================================
Приложения:
Ответ дал: mmb1
0
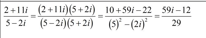
(2+11i)/(5-2i)=(избавляемся от комплекса в знаменателе)=(2+11i)(5+2i)/(5-2i)(5+2i)=(10+4i+55i-22)/(25-10i+10i+4)=(-12+59i)/29
Приложения:
Вас заинтересует