Ответы
Ответ дал:
2
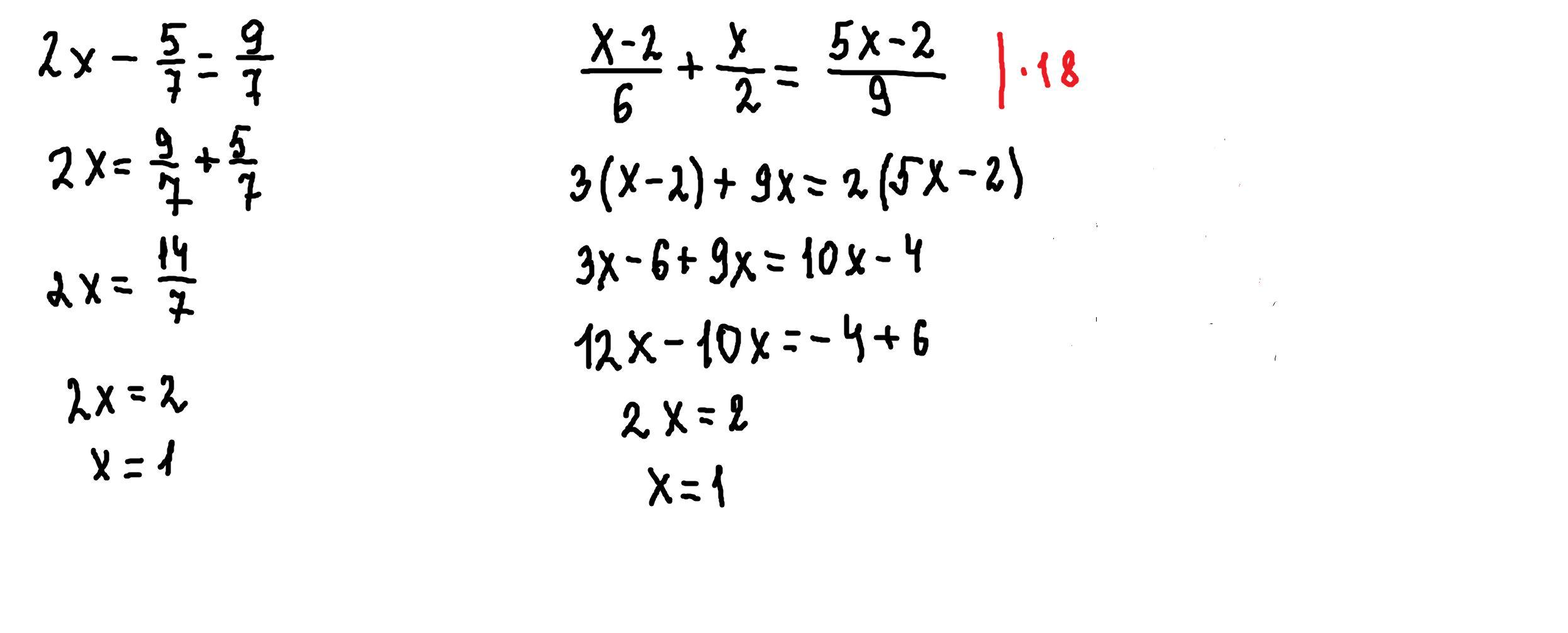
a)
б)
в)
Аноним:
лучший, позже отмечу как лучший ответ
Ответ дал:
2
Ответ:
Пошаговое объяснение:
7(х-3)=6+ 3(х-3)
7х-21=6+3х-9
7х- 3х=6-9+21
4х=18
х=18:4
х= 4,5
Приложения:

Вас заинтересует
2 года назад
2 года назад
2 года назад
2 года назад
8 лет назад
8 лет назад
9 лет назад