• Предмет: Алгебра
  • Автор: jhwnucn123
  • Вопрос задан 3 года назад

НАДО НАЙТИ СУММУ МНОГОЧЛЕНОВ!!!помогите главный мозг пожалуйста прошу вас ​

Приложения:

Ответы

Ответ дал: NNNLLL54
0

Ответ:

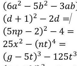
(6a^2-5b^2-3ab)=6a^2-5b^2-3ab\\\\(d+1)^2-2d=d^2+2d+1-2d=d^2+1\\\\(5np-2)^2-4=(25n^2p^2-20np+4)-4=25n^2p^2-20np\\\\25x^2-(nt)^4=25x^2-n^4t^4\\\\(g-5t)^3-125t^3=g^3-15g^2t+75gy^2-125t^3-125t^3=g^3-15g^2t+75gy^2-250t^3


jhwnucn123: там у всех ответы есть
jhwnucn123: ой блиин
jhwnucn123: сори я там неправильно написал
jhwnucn123: первой задаче
jhwnucn123: (7а^2+4аb-b^2)+(6a^2-5b^2-3ab)
NNNLLL54: пишите правильно условие...тогда получите правильный ответ... какое условие написали, такой ответ получили...
Вас заинтересует