Ответы
Ответ дал:
0
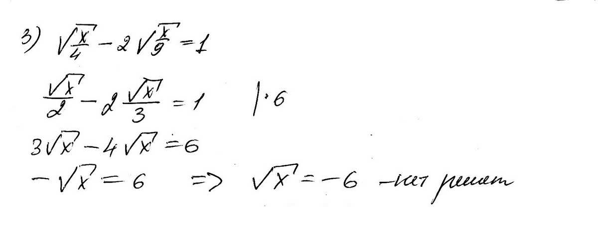
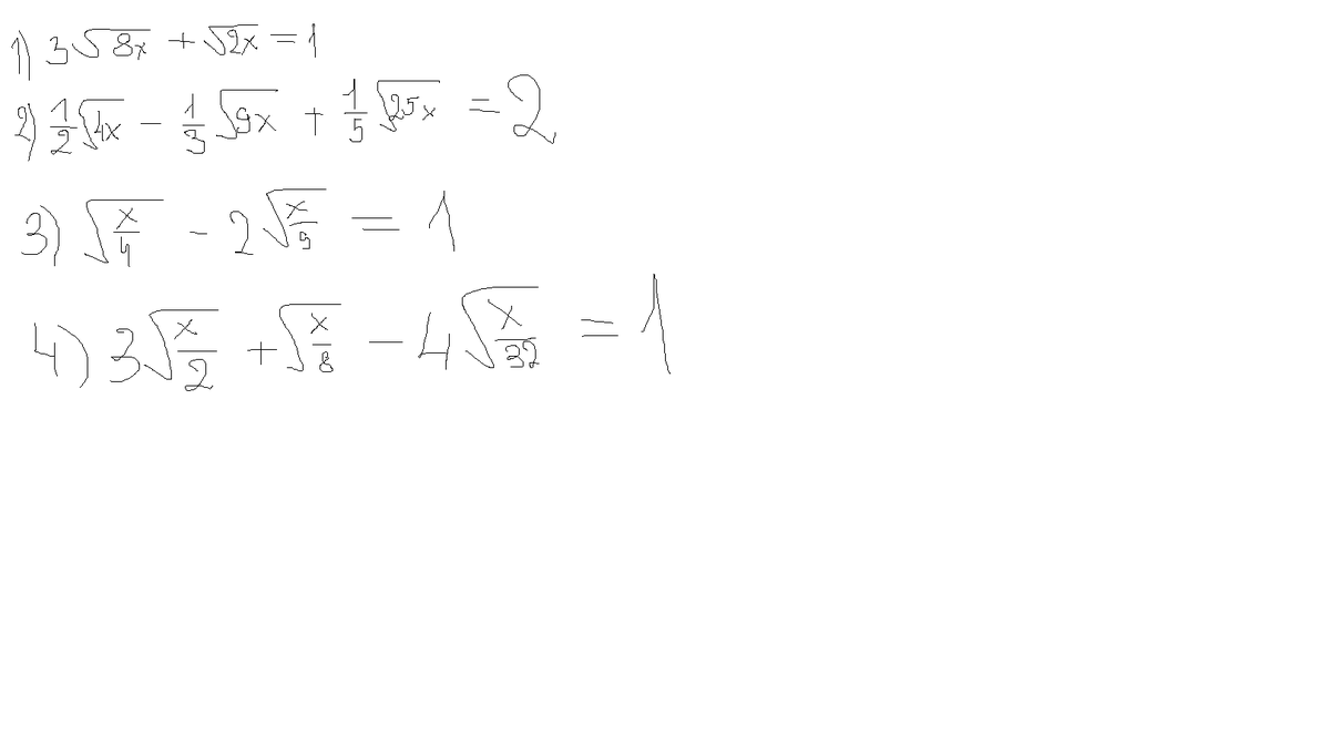
3√(8х)+√(2х)=1
ОДЗ: 8х≥0 и 2х≥0
х≥0
3√(8х)+√(2х)=1
6√(2х)+√(2х)=1
7√(2х)=1
√(2х)=1/7
2х=1/49
х=1/98
Ответ: 1/98
ОДЗ: 8х≥0 и 2х≥0
х≥0
3√(8х)+√(2х)=1
6√(2х)+√(2х)=1
7√(2х)=1
√(2х)=1/7
2х=1/49
х=1/98
Ответ: 1/98
Ответ дал:
0
6√(2х)+√(2х)=1 ОБЬЯСНИТЕ КАК ПОЛУЧИЛИ
Ответ дал:
0
√(8х) = √(4*2х) = 2√(2х)
Ответ дал:
0
Решение ниже ===========
Приложения:


Ответ дал:
0
http://znanija.com/task/4224450 ВОТ ПОМОГИТЕ ЕЩЕ ПОЖАЛУЙСТА
Ответ дал:
0
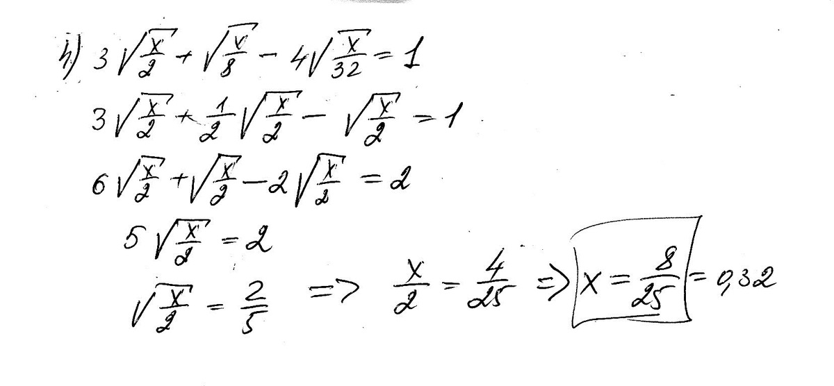
добавил 4 задание
Ответ дал:
0
А ЕСЛИ В 4 ЗАДАНИИ СРАЗУ ДОМНОЖИТЬ НА 32 ТО НЕ ПОЛУЧИТСЯ ПРАВИЛЬНОГО ОТВЕТА?
Вас заинтересует
2 года назад
8 лет назад
8 лет назад
10 лет назад
10 лет назад
10 лет назад