Помогите пожалуйста, прошу.
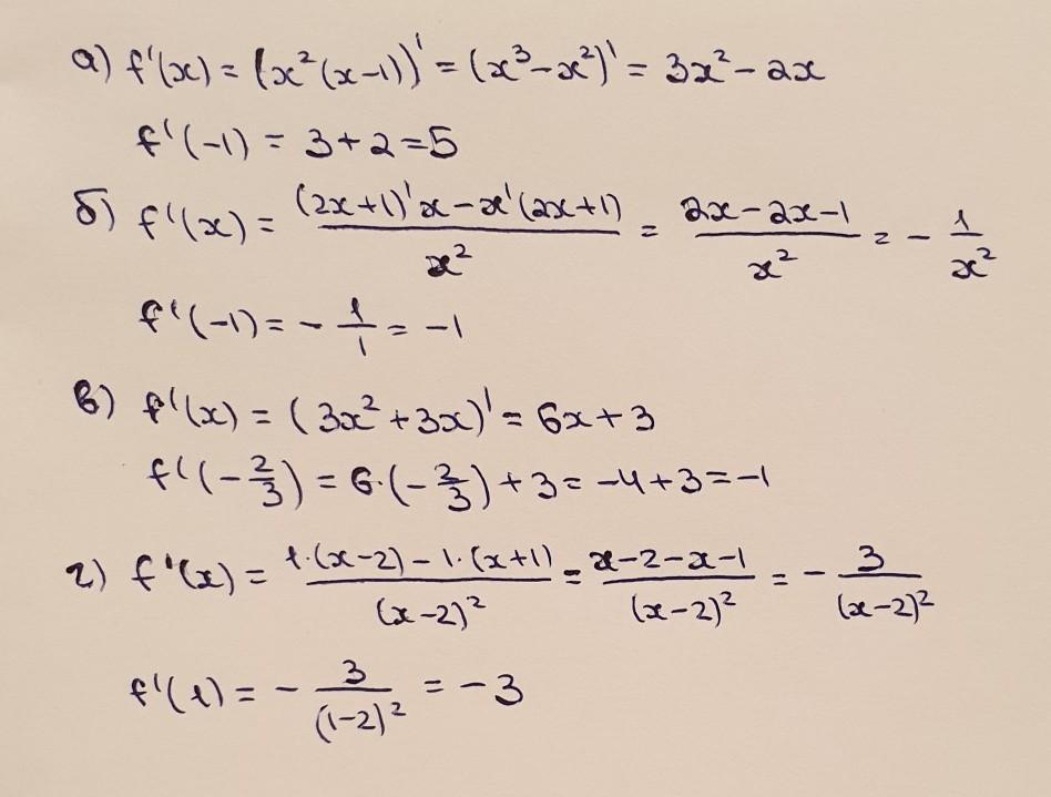
Вычислите производную функции f(x) и ее значения в точке х0:
Приложения:

Ответы
Ответ дал:
1
Ответ:
решение на фотографии.
Приложения:

21summer21:
Вы мой спаситель) очень признательна!
Вас заинтересует
2 года назад
2 года назад
2 года назад
8 лет назад
8 лет назад
9 лет назад
9 лет назад