Ответы
Ответ дал:
0
Решение ниже ===========
Приложения:

Ответ дал:
0
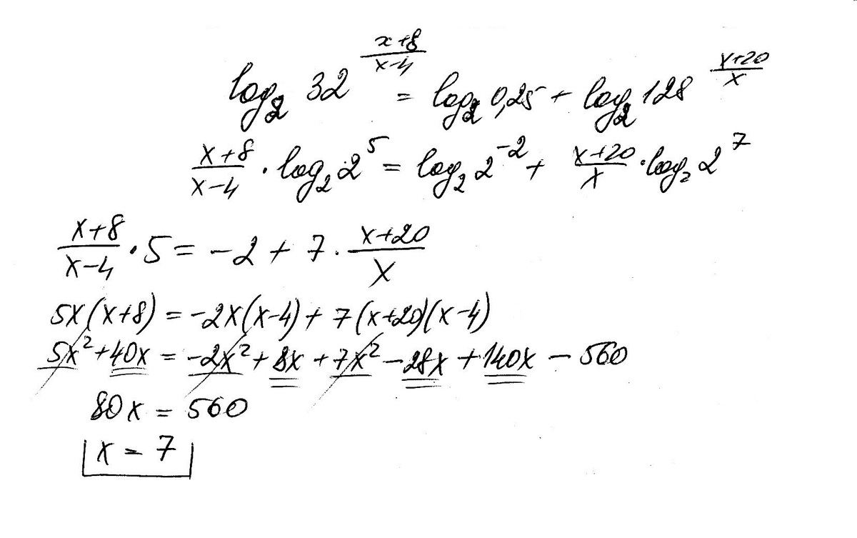
80x-560=0
x-7=0
x=7
Приложения:

Вас заинтересует
2 года назад
8 лет назад
8 лет назад
10 лет назад
10 лет назад