• Предмет: Математика
  • Автор: ivannabibulin2007
  • Вопрос задан 3 года назад

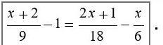
Помогите решить уравнение даю 15 баллов Плз.

Приложения:

Ответы

Ответ дал: ds15092020
1

Ответ:

5

Пошаговое объяснение:

(x+2 - 9)/9=(2x+1-3x)/18

2x-14=-x+1

3x=15

x=5


aiymmedelkhanova: 2(х+2)-18=2х+1-3х
2х+4-18=2х+1-3х
2х-2х+3х=1-4+18
3х=15
х=15:3
х=5
ivannabibulin2007: Это точно верно?
ivannabibulin2007: У кого верно?
Ответ дал: ksyuwi
1

Ответ:

\frac{x+2}{9}-1=\frac{2x+1}{18} -\frac{x}{6} |*18\\\\\frac{18(x+2)}{9}-1*18=\frac{18(2x+1)}{18} -\frac{18x}{6}

сокращаем

2(x+2)-18=2x+1-3x\\\\2x+4-18=2x+1-3x\\\\2x-2x+3x=1-4+18\\\\3x=15\\\\x=15:3\\\\x=5

Проверка:

x=5\\\\\frac{5+2}{9}-1=\frac{2*5+1}{18} -\frac{5}{6} \\\\\frac{7}{9}-\frac{1}{1}=\frac{11}{18}-\frac{5}{6}\\\\\frac{14}{18}-\frac{18}{18}=\frac{11}{18}-\frac{15}{18}\\\\-\frac{4}{18}=-\frac{4}{18}

Вас заинтересует