• Предмет: Алгебра
  • Автор: 87053949765ka
  • Вопрос задан 3 года назад

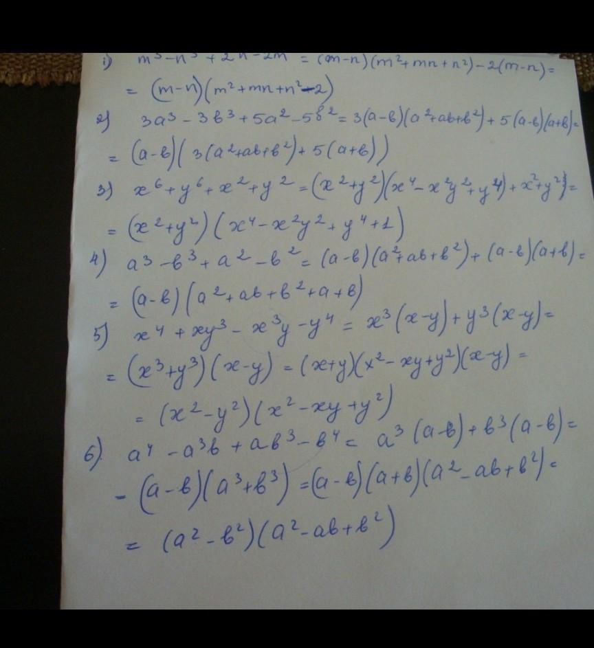
Представьте в виде произведения многочлен:
1) m3 — n3 + 2n - 2т; 2) За3 - 3b3 + 5а? - 562
3) x + y® + x2+y2;
4) аз - b3 +а? - b2;
5) x1 + хуз – хзу - у ; 6) a1 - a3b + аb^3-b^4 срочно да 20 б​

Ответы

Ответ дал: pavlo6bond
44

Объяснение:

ответ...............

Приложения:

87053949765ka: спасибо братан спас
pavlo6bond: пж оцени 5 звезд очень нужно пж
felisatahanova3: СПАСИБО БОЛЬШОЕ!!!!
87053949765ka: ок
87053949765ka: довно уже:)
Вас заинтересует