• Предмет: Алгебра
  • Автор: Аноним
  • Вопрос задан 3 года назад

помогите решить пределы. непрерывность

Приложения:

Ответы

Ответ дал: NNNLLL54
1

Ответ:

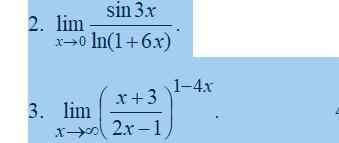
2)\ \ \lim\limits_{x \to 0}\dfrac{sin3x}{ln(1+6x)}=\lim\limits_{x \to 0}\dfrac{3x}{6x}=\dfrac{3}{6} =0,5\\\\\\\star \ \ \ sin\alpha (x)\sim \alpha (x)\ \ ,\ \ \alpha (x)\to 0\ \ \star \\\\\star \ \ ln(1+\alpha (x))\sim \alpha (x)\ \ ,\ \ \alpha (x)\to 0\ \ \star

3)\ \ \lim\limits_{x \to \pm \infty}\Big(\dfrac{x+3}{2x-1}\Big)^{1-4x}=\Big[\ \Big(\dfrac{1}{2}\Big)^{\infty }\ \Big]=\left\{\begin{array}{l}0\ ,\ esli\ x\to -\infty \\+\infty \ ,\ esli\ x\to +\infty \end{array}\right

Вас заинтересует