• Предмет: Алгебра
  • Автор: cinemagoerzina13
  • Вопрос задан 3 года назад

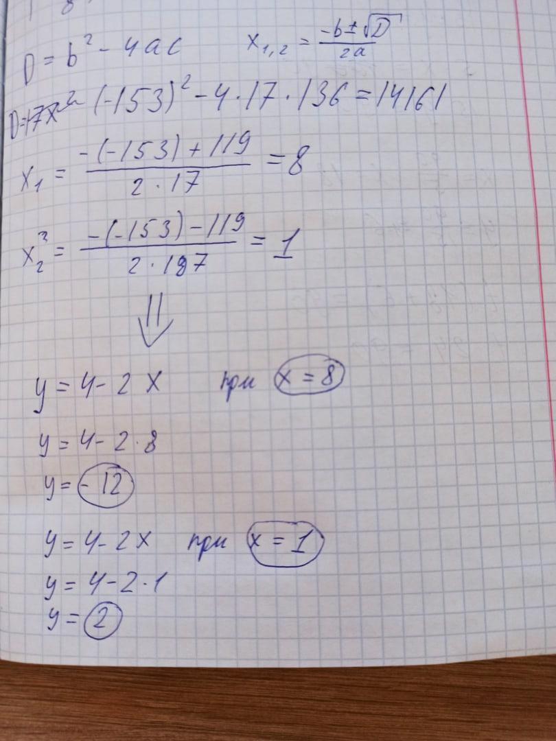
РЕШИТЕ СИСТЕМУ УРАВНЕНИЙ МОЖНО ПОЖАЛУЙСТА ОЧЕНЬ ПОДРОБНО
у^4+2х^2=3ху^2
У+2х=4

Ответы

Ответ дал: Toss322
2

Ответ:

Система уравнений имеет решения при x = 8 и y = -12, а так же x = 1 и y = 2

Объяснение:

Приложения:
Вас заинтересует