• Предмет: Алгебра
  • Автор: ganstervegas46
  • Вопрос задан 3 года назад

срочно....................

Приложения:

Ответы

Ответ дал: daralukanova93
0

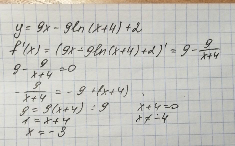
1 Ищем производную

2 Приравниваем функцию к нулю и решаем уравнение. Получаем -3.

3 На числовой прямой ищем минимум и максимум, но в данном случае числовую прямую не чертим, потому что -4 не входит в наш промежуток.

Ответ: -3

Приложения:
Вас заинтересует