Ответы
Ответ дал:
2
Решение:
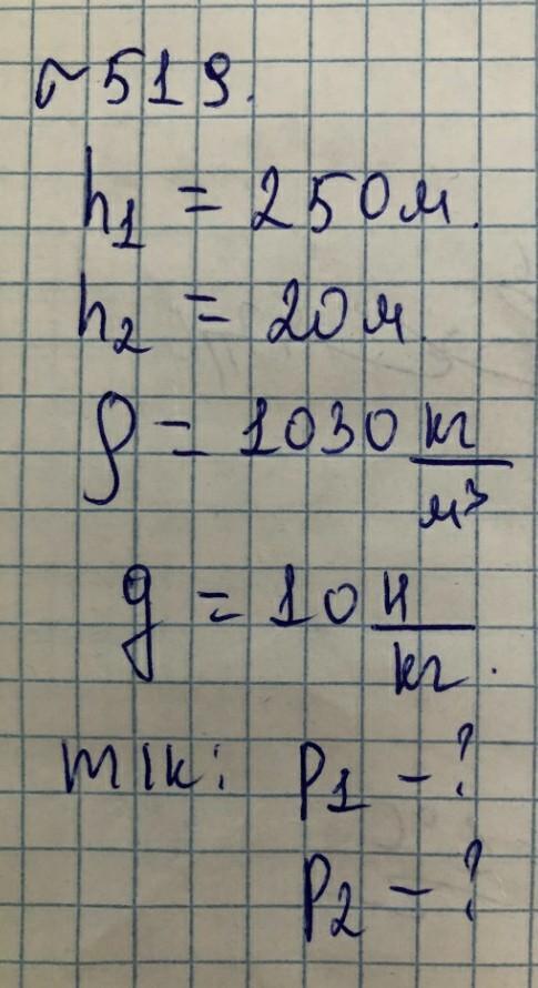
(p — ро)
ΔP = P1 - P2
P1/P2 = pgh1/pgh2
P1 = pgh1 = 1030 кг/м^3 * 10 м/с^2 * 250 м = 2,575 * 10^6 Пa
P2 = pgh2 = 1030 кг/м^3 * 10 м/с^2 * 20м = 0,206 * 10^6 Па
ΔP = P1-P2 = 2,575 * 10^6 Па - 0,206 * 10^6 Па = 2,370 * 10^6 Па
P1/P2 = pgh1/pgh2 = h1/h2 = 250 м/20 м = 12,5
Ответ: ΔP = 2370 кПа, P1/P2 = 12,5
(p — ро)
ΔP = P1 - P2
P1/P2 = pgh1/pgh2
P1 = pgh1 = 1030 кг/м^3 * 10 м/с^2 * 250 м = 2,575 * 10^6 Пa
P2 = pgh2 = 1030 кг/м^3 * 10 м/с^2 * 20м = 0,206 * 10^6 Па
ΔP = P1-P2 = 2,575 * 10^6 Па - 0,206 * 10^6 Па = 2,370 * 10^6 Па
P1/P2 = pgh1/pgh2 = h1/h2 = 250 м/20 м = 12,5
Ответ: ΔP = 2370 кПа, P1/P2 = 12,5
Вас заинтересует
2 года назад
2 года назад
2 года назад
8 лет назад
9 лет назад
9 лет назад