помогите хотя бы что знаете)))
№1 Определите знак выражения
sin а* а cos а* а tg а* а сtg а:
а) а = – 170; б) а = 6,1
№2 а. 6sin2 x + 7sin 2x + 4 = 0
б. 7 = 7sin 2x – 9cos 2x
в. 6 tg x – 14ctg x + 5 = 0
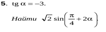
Приложения:
Ответы
Ответ дал:
0
№ 2 в
6 tg α - 14 / tg α + 5 = 0
к общему знаменателю
(6 tg²α + 5 tg α - 14) / tg α = 0
6 tg ² α + 5 tg α - 14 = 0
tg α ≠ 0
tg α =Z
6 Z² + 5 Z - 14 =0
D = 25 - 4 * 6 * (-14) = 361 = 19²
Z = -2
Z= 14/12
tg α = - 2
tg α = 14/12
tg α ≠0
6 tg α - 14 / tg α + 5 = 0
к общему знаменателю
(6 tg²α + 5 tg α - 14) / tg α = 0
6 tg ² α + 5 tg α - 14 = 0
tg α ≠ 0
tg α =Z
6 Z² + 5 Z - 14 =0
D = 25 - 4 * 6 * (-14) = 361 = 19²
Z = -2
Z= 14/12
tg α = - 2
tg α = 14/12
tg α ≠0
Ответ дал:
0
добавляю
Вас заинтересует
3 года назад
3 года назад
8 лет назад
8 лет назад
11 лет назад
11 лет назад
11 лет назад