• Предмет: Математика
  • Автор: faridamukanova
  • Вопрос задан 3 года назад

Как это разложилось объясните плз дай 20 баллов​

Приложения:

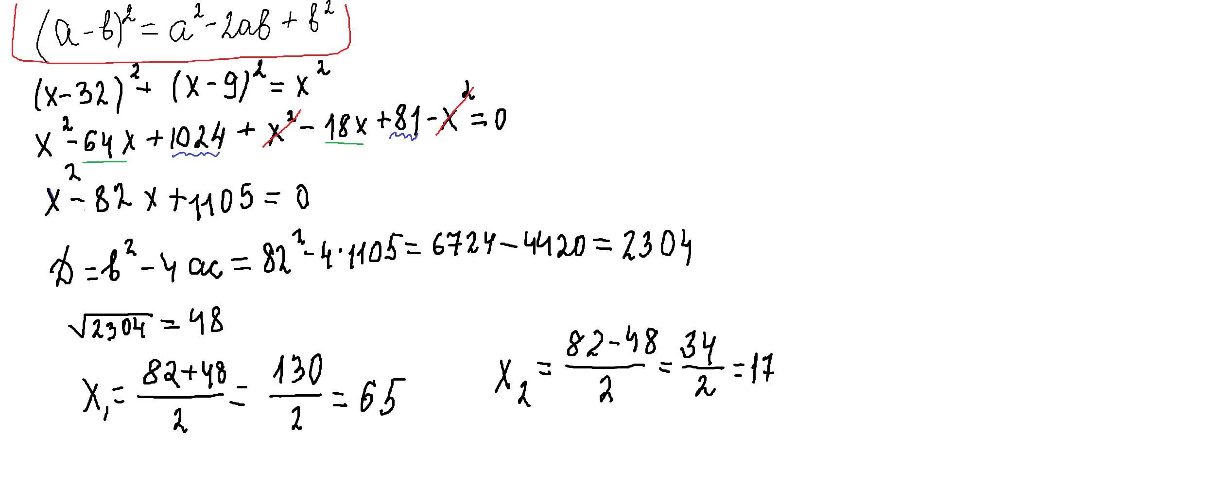
parus77: вы потеряли квадрат у самого первого Х.а раскладывают по формуле квадрат разности.

Ответы

Ответ дал: parus77
0

Ответ:

х1=65   х2=17

Пошаговое объяснение:

раскладываем по формле квадрат разности,все записано внизу.

Приложения:
Вас заинтересует