Решите уравнение (1—2):
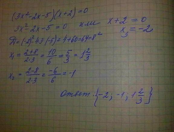
1. а) (3х2 – 2x – 5)(х + 2) = 0;
б) x3 — 4х = 0;
в) х – 6+5=0.
Помогите пожалуйста
Ответы
Ответ дал:
3
Второй ответ:
1 а) (3х2-2х-5)(х+2)=(6х-2х-5)(х+2)=6х^2+12х-2х^2-4х-5х-10=4х^2+3х-10
б) х³ - 4х=0
х(х² - 4) = 0
1) х₁ = 0
2) (х² - 4) = 0
х² = 4
х₂ = -2
х₃ + 2
уравнение имеет три корня: х = -2, 0, 2
в) х – 6+5=0
х – 1 = 0
х = 1
Удачи вам!
Приложения:

Вас заинтересует
2 года назад
2 года назад
2 года назад
2 года назад
8 лет назад
9 лет назад