• Предмет: Алгебра
  • Автор: annamirazh
  • Вопрос задан 3 года назад

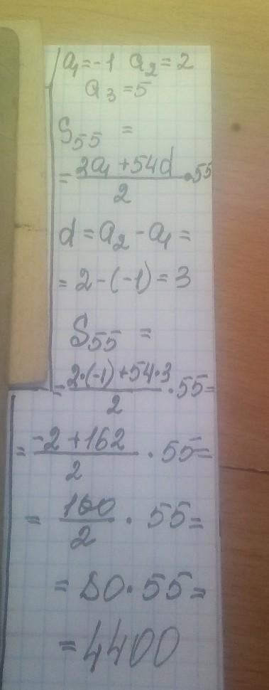
Дана арифметическая прогрессия -1;2;5 Найдите сумму первых пятидесяти пяти членов этой прогрессии

Ответы

Ответ дал: manyny06
1

Ответ:

решение на фотографии

Приложения:
Вас заинтересует