• Предмет: Алгебра
  • Автор: uwicushdjfe
  • Вопрос задан 3 года назад

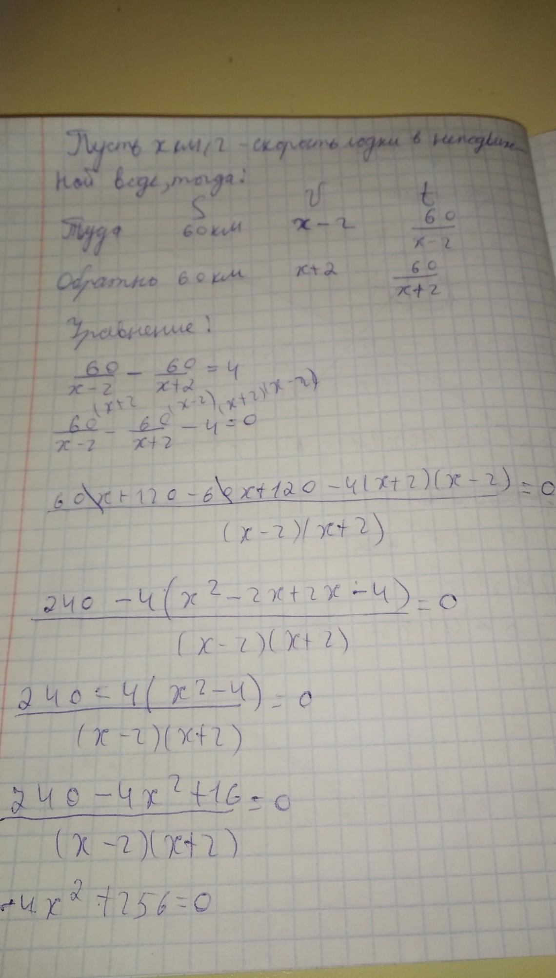
Баржа прошла против течения реки 60 км и обратно, затратив на обратный путь на 4 часа меньше, чем на путь против течения. Найдите скорость баржи в неподвижной воде, если скорость течения равна 2 км/час. Ответ дайте в километрах в час


Simba2017: уравнение хотите?
uwicushdjfe: да

Ответы

Ответ дал: maksymshlykov666
0

Ответ:

8Км/ч скорость лодки в неподвижной воде

Объяснение:

Если есть какие то вопросы задавай, а так в целом, удачи тебе в дальнейших задачах!

Приложения:
Вас заинтересует