• Предмет: Алгебра
  • Автор: Аноним
  • Вопрос задан 3 года назад

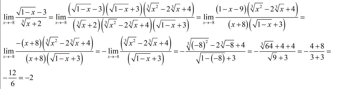
Вычислить ...не используя правила Лопитая​

Приложения:

zefir07: сурату махраҷа ҳосила гир
zefir07: чаед балл мети
Аноним: кунид 5мин вакт мондаги
Simba2017: вопрос не для всех...
zefir07: ҳисордаям интернет халявный
Аноним: нужен решене еще 10 мин и все ...
Аноним: Симба можете решать
Simba2017: я геометрию
Аноним: хорошо сейчас добавлю вопрос геометрии
Аноним: добавил

Ответы

Ответ дал: palilov243659
2

Ответ:

-2

Объяснение:

...../////////////////////////////////////////////

Приложения:

Simba2017: вы наш гений!
palilov243659: здесь нет ничего гениального, обычное правило избавления от иррациональности в дроби
Simba2017: да я думала что домножить надо, но вот на что так и не дошло...
Simba2017: в "кубышку" его , можно с вами подружиться?
Simba2017: вы уже не первый раз меня удивляете))
palilov243659: конечно, можно
Вас заинтересует