• Предмет: Алгебра
  • Автор: kseniaazepova
  • Вопрос задан 3 года назад

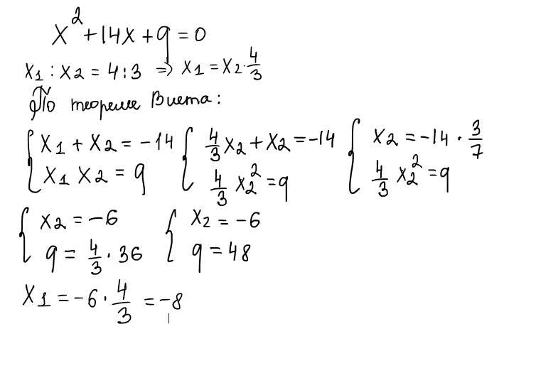
Корни уравнения х2+14х+q=0 относятся как 4:3. Найди корни уравнения и q


Срочно!!! ​

Ответы

Ответ дал: roxanaar
1

Ответ: По теореме Виета

Х= -6 и Х= -8 корни квадратного уравнения

q = 48

Приложения:

kseniaazepova: спасибо большое
Вас заинтересует