• Предмет: Математика
  • Автор: Аноним
  • Вопрос задан 3 года назад

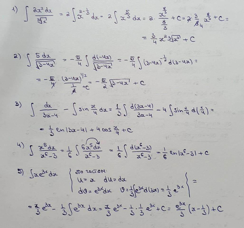
Помогите с интегралами желательно на фото, или с использованием математических символов помогите пожалуйста даю 100 баллов!

Приложения:

Ответы

Ответ дал: Miroslava227
1

Ответ:

решение на фотографии.

Приложения:
Вас заинтересует