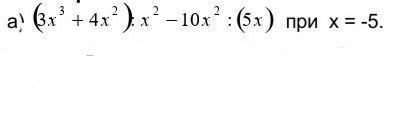
ПОМОГИТЕ СРОЧНО!
надо решить пример по действиям (просьба не решать по PHOTOMATCH) (36 баллов)
Приложения:

Ответы
Ответ дал:
1
Ответ на фото:...............................................
Приложения:

Вас заинтересует
2 года назад
2 года назад
2 года назад
2 года назад
8 лет назад
8 лет назад
9 лет назад