• Предмет: Математика
  • Автор: kanaselena8
  • Вопрос задан 3 года назад

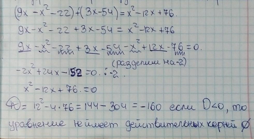
Помогите решить уравнение пожалуйста
(9х-х²-22)+(3х-54)=х²-12х+76

Ответы

Ответ дал: danmal0406
1

Ответ:

Ответ на фото............

Приложения:
Ответ дал: SilverGravity
3

Ответ:

(9x -  {x}^{2}  - 22) + (3x - 54) =  {x}^{2}  - 12x + 76 \\ 9x -  {x}^{2}  - 22 + 3x - 54 -  {x}^{2}  + 12 - 76 = 0  \\  - 2 {x}^{2}  = 0 \\ x = 0 \\

х (принадлежит) R

Вас заинтересует