• Предмет: Математика
  • Автор: sonazincenko34
  • Вопрос задан 3 года назад

решите пожалуйста, ооооооочень срочно, с пошаговым реееешением​

Приложения:

Ответы

Ответ дал: nnnsssttt2
0

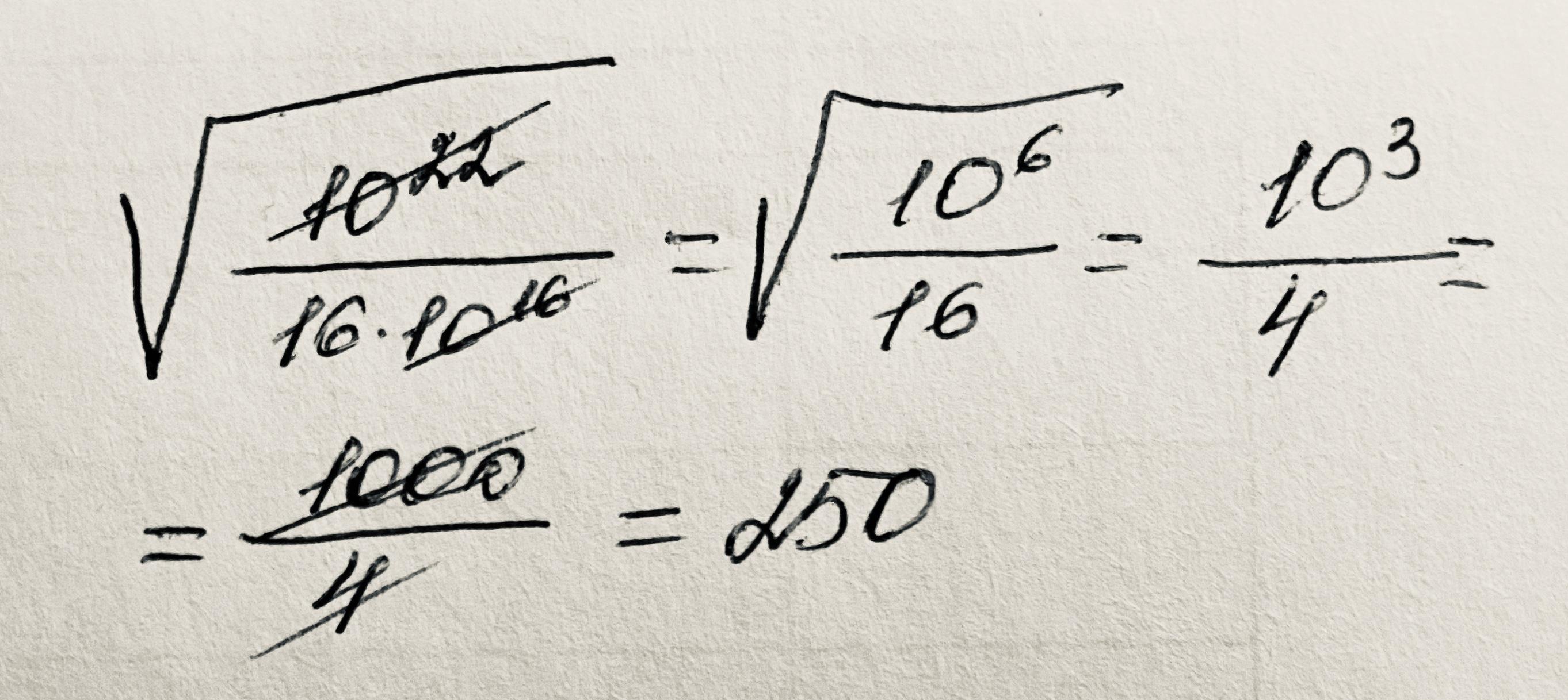
Ответ:

250

Пошаговое объяснение:

сначала сокращаем y^16, в числителе остается y^6

дальше подставляем 10, получается корень из 10^6/16

вычисляем корень, получается 1000/4=250

Ответ дал: vikkab74Vikila
0

Ответ: 250

Пошаговое объяснение: смотри на фото

Приложения:
Вас заинтересует