Задание по алгебре! Помогите пожалуйста!
Приложения:

kanmmu:
у=12 при х=4
Ответы
Ответ дал:
0
Ответ:
(4;12)
Объяснение:
y=-x^2+8x-4=-(x-4)^2+16-4=-(x-4)^2+12
x=4 -максимум
y(4)=12
Ответ дал:
1
Ответ:
Объяснение:
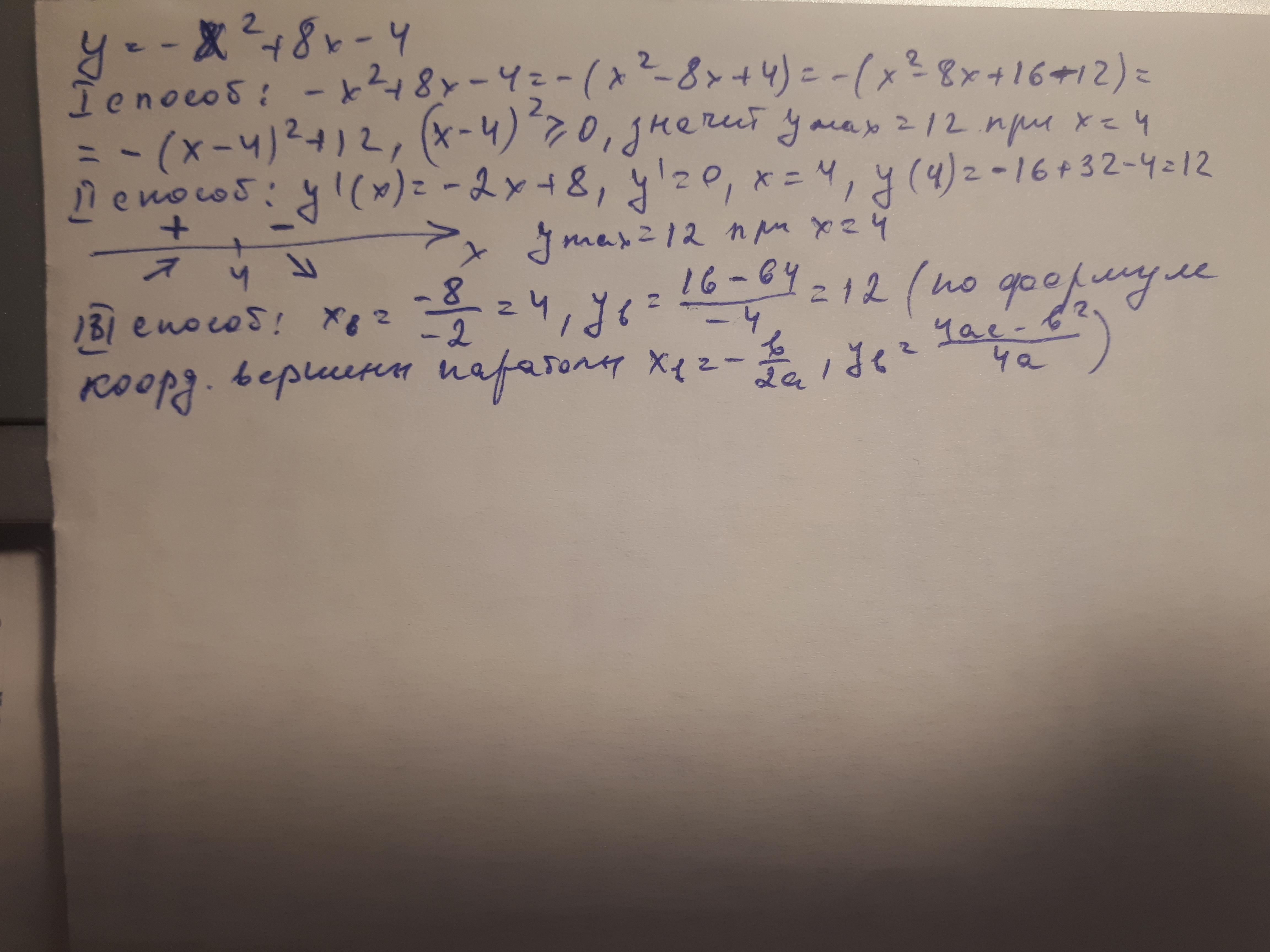
3 способа на выбор)
Приложения:

Вас заинтересует
2 года назад
2 года назад
2 года назад
8 лет назад
9 лет назад
9 лет назад