• Предмет: Геометрия
  • Автор: ilona4911
  • Вопрос задан 3 года назад

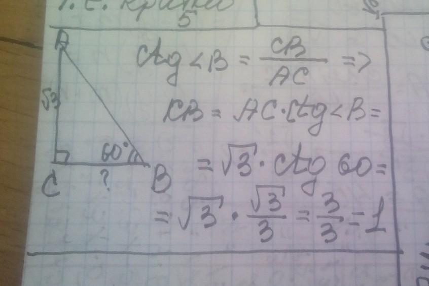
у прямокутному трикутнику ABC з прямим кутом C. AC= √3 см, кут ABC = 60°. Знайдіть BC​

Ответы

Ответ дал: manyny06
3

Ответ:

решение на фотографии

Приложения:
Вас заинтересует