• Предмет: Геометрия
  • Автор: Аноним
  • Вопрос задан 3 года назад

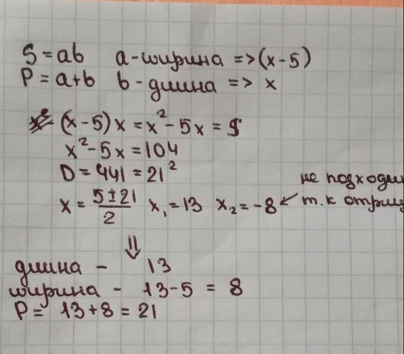
Найдите стороны прямоугольника, если известно, что его длина на 5 больше ширины, а площадь равна 104

Ответы

Ответ дал: Аноним
0

Ответ:

решение на фотографии

Приложения:
Вас заинтересует