З розв'язанням ПС як не понятно то 525 номер в фото
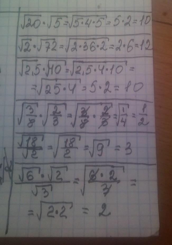
√20•√5
√2•√72
√2,5•√40
√3/8•√2/3
√18/√2
√6•√2
-------------
√3
Приложения:

Ответы
Ответ дал:
2
Ответ:
решение на фотографии
Приложения:

Itakeyourquenn:
помоги пожалуйста с геометрией 7 класса
Вас заинтересует
2 года назад
2 года назад
8 лет назад
8 лет назад