13.9 алгебра номер 2-3 8 класс
Приложения:

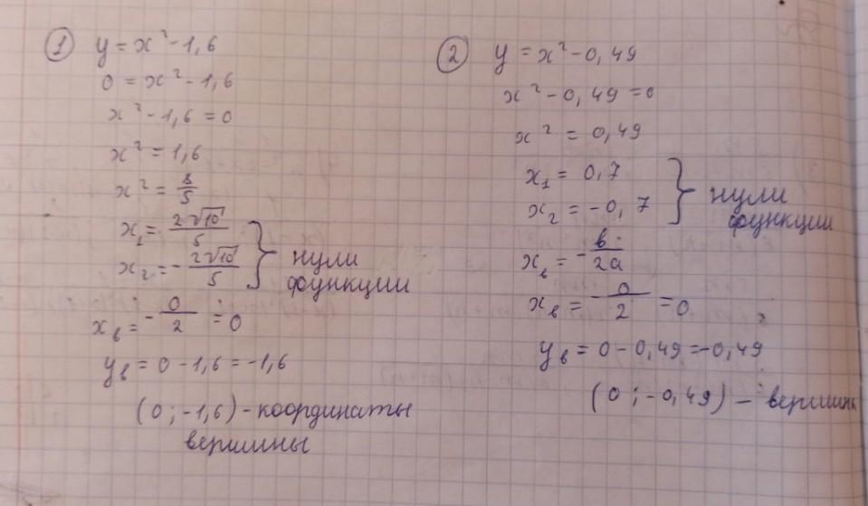
vs3835111:
можно с чертежами
Ответы
Ответ дал:
0
~~~~~~~~~~~~~~~~~~~~~~~~~~~
Приложения:

Ответ дал:
1
Во вложении..........
Приложения:

Вас заинтересует
2 года назад
2 года назад
2 года назад
2 года назад
8 лет назад
8 лет назад
9 лет назад