• Предмет: Алгебра
  • Автор: blackmax234768
  • Вопрос задан 3 года назад

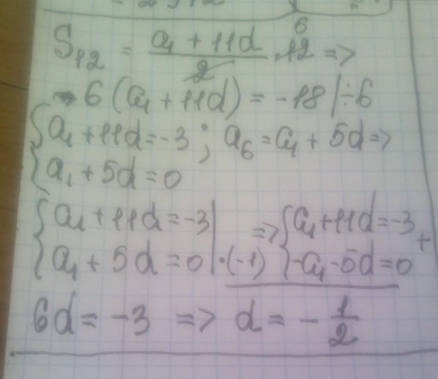
Знайдіть різницю арифметичної прогресії (аn), якщо a6 = 0; S12= -18.​

Ответы

Ответ дал: manyny06
4

Ответ:

решение на фотографии

Приложения:
Вас заинтересует