• Предмет: Математика
  • Автор: yanainstyanull
  • Вопрос задан 3 года назад

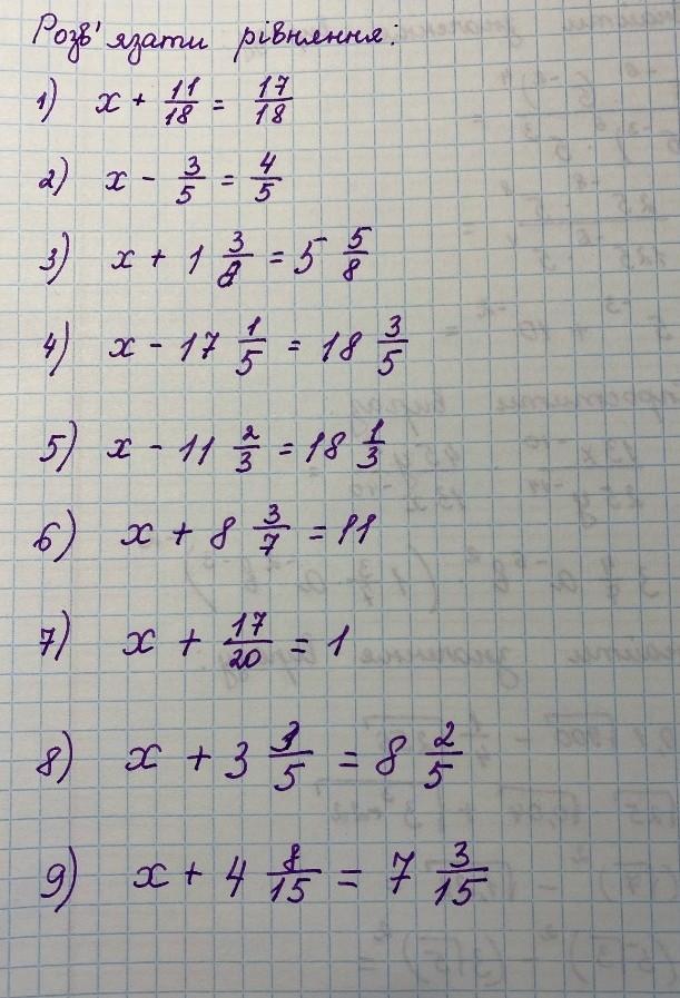
помогите пожалуйста срочно даю 15 балов математика 5 класс ​

Приложения:

foverlord510: x оставляй в левой части, в правую переноси числа с противоположным знаком. И вячисляй.
foverlord510: вычисляй.

Ответы

Ответ дал: kseniatchernobai
2
Вот ответ надеюсь всё правильно
Приложения:

yanainstyanull: спасибо большое
kseniatchernobai: Пожалуйста
foverlord510: Только нужно сократить ещё некоторые.
kseniatchernobai: А точно я забыла
Вас заинтересует