• Предмет: Алгебра
  • Автор: kkiseleva165
  • Вопрос задан 3 года назад

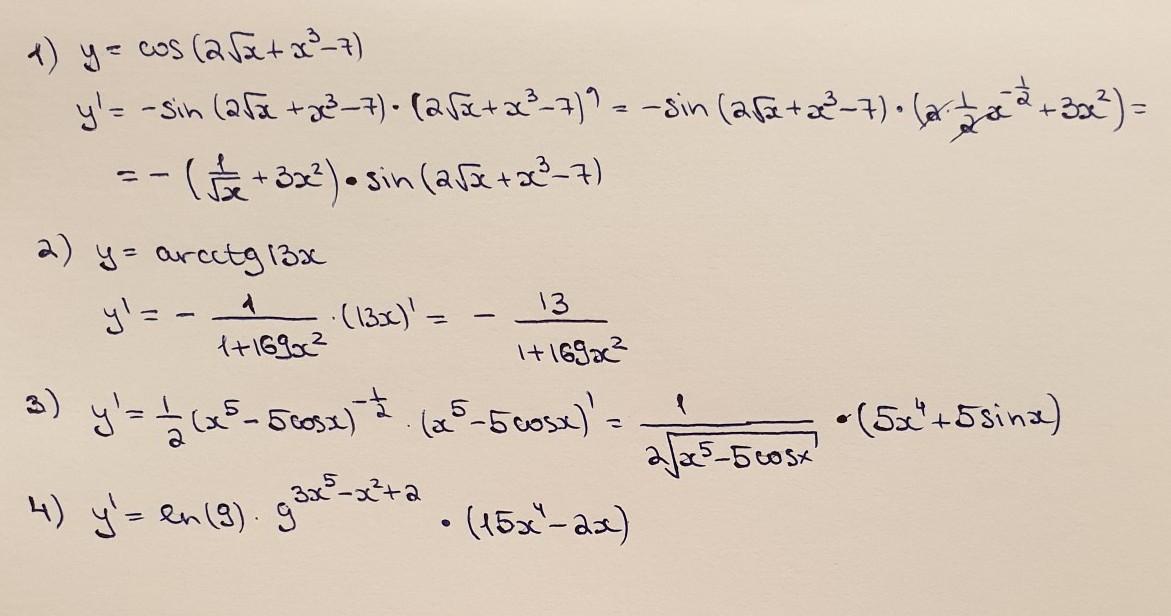
Помогите пожалуйста! Надо найти производную

Приложения:

Ответы

Ответ дал: Miroslava227
1

Ответ:

решение на фотографии.

Приложения:
Вас заинтересует