• Предмет: Физика
  • Автор: adombrovskaya
  • Вопрос задан 3 года назад

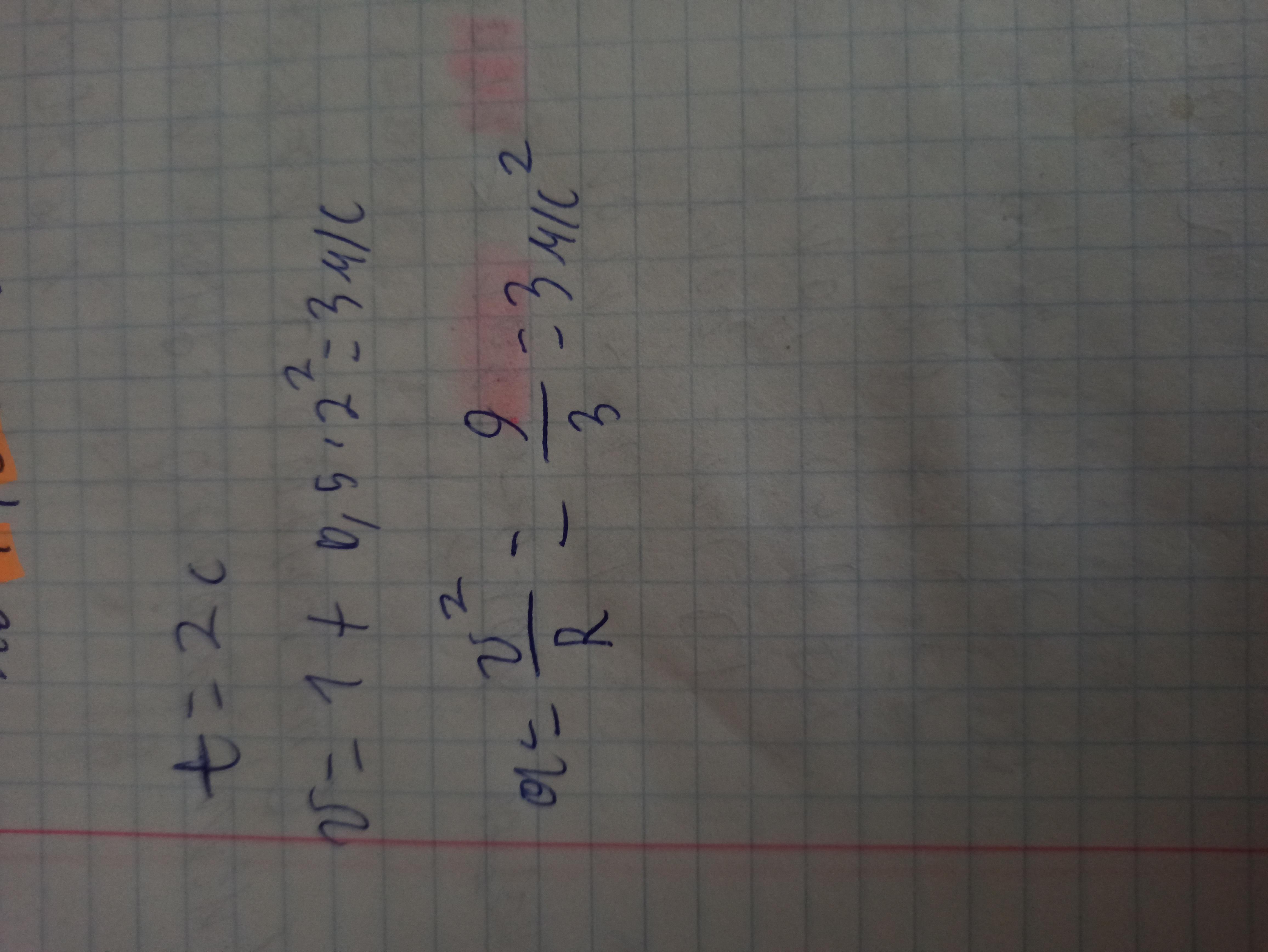
Материальная точка движется по окружности радиусом 3 м. При этом зависимость ее линейной скорости от времени имеет вид v = ( 1 + 0,5t²). Определить ускорение точки в момент времени t = 2 с.

Ответы

Ответ дал: nikita17239
0

Ответ:

Объяснение: Подставь время, а ускорение центростремительное формула написана

Приложения:
Вас заинтересует