• Предмет: Алгебра
  • Автор: Аноним
  • Вопрос задан 3 года назад

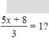
25 БАЛІВ!!!!!!!!!! Допоможіть пж

Приложения:

Ответы

Ответ дал: oqilovmehrob
1

Объяснение:

.....................

Приложения:
Вас заинтересует