• Предмет: Математика
  • Автор: cooller72
  • Вопрос задан 3 года назад

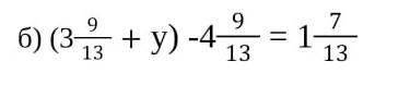
Помогите решить уравнение. ​

Приложения:

Ответы

Ответ дал: iramazurk
3

Ответ:

Пошаговое объяснение:

3 9/13 + у = 1 7/13 + 4 9/13

3 9/13 + у = 5 16/13

у = 5 16/13 - 3 9/13

у = 2 7/13

Вас заинтересует