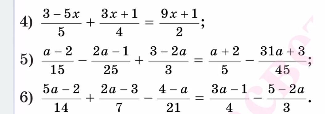
ааааа срочно помогите решить дам 50 баллов
Приложения:

Аноним:
привет
Ответы
Ответ дал:
1
Ответ:
Вас заинтересует
2 года назад
2 года назад
2 года назад
2 года назад
8 лет назад