• Предмет: Математика
  • Автор: Dianatuchka17
  • Вопрос задан 3 года назад

Пжжжжжжжжжжжжж помогитее

Приложения:

Ответы

Ответ дал: jekadva
1

Ответ:

Пошаговое объяснение:

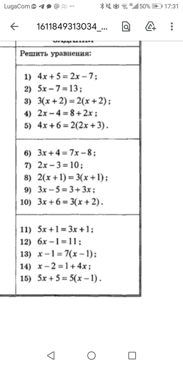
4x + 5 = 2x - 7

4x - 2x = -7 - 5

2x = -12

x = -12:2

x = -6

----------------

5x - 7 = 13

5x = 13+7

5x = 20

x = 20:5

x = 4

--------------

3(x + 2) = 2(x + 2)

3x + 6 = 2x + 4

3x - 2x = 4 - 6

x = -2

---------------

2x - 4 = 8 + 2x

2x - 2x = 8 + 4

0 ≠ 12

нет решений

------------------

4x + 6 = 2(2x + 3)

4x + 6 = 4x + 6

4x - 4x = 6 - 6

0 = 0

x є (-∞ ; ∞)

уравнение имеет множество решений

-------------------------

-------------------------

3x + 4 = 7x - 8

7x - 3x = 8 + 4

4x = 12

x = 12 : 4

x = 3

-----------------

2x - 3 = 10

2x = 10+3

2x = 13

x = 13:2

x = 6,5

--------------------

2(x + 1) = 3(x + 1)

2x + 2 = 3x + 3

3x - 2x = 2 - 3

x = -1

--------------------

3x - 5 = 3 + 3x

3x - 3x = 3 + 5

0 ≠ 8

нет решений

------------------------

3x + 6 = 3(x + 2)

3x + 6 = 3x + 6

3x - 3x = 6 - 6

0 = 0

x є (-∞ ; ∞)

уравнение имеет множество решений

===========================

5x + 1 = 3x + 1

5x - 3x = 1 - 1

2x = 0

x = 0

---------------------

6x - 1 = 11

6x = 11+ 1

6x = 12

x = 12:6

x = 2

--------------------

x - 1 = 7(x - 1)

x - 1 = 7x - 7

7x - x = 7 - 1

6x = 6

x = 6:6

x = 1

------------------

x - 2 = 1 + 4x

4x - x = -2 - 1

3x = -3

x = -3 : 3

x = -1

--------------------

5x + 5 = 5(x - 1)

5x + 5 = 5x - 5

5x - 5x = -5 - 5

0 ≠ -10

нет решений

======================

Вас заинтересует