• Предмет: Математика
  • Автор: playgames228226
  • Вопрос задан 3 года назад

помогите решить 5 пожалуйста​

Приложения:

Ответы

Ответ дал: sofiyavictoria
0

Ответ:

Пошаговое объяснение:

x^2+3x/5=5x-x^2/2

2x^2+6x=15x-3x^2

5x^2-9x=0

x*(5x-9)=0

х=0    или   5х-9=0

х=0     или    х=1,8

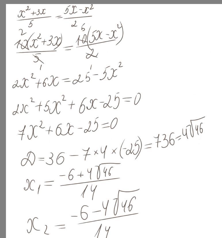
Ответ дал: lertllea
0
Вот, ответ: при х = -6 +4 корня из 46; Х= -6 -4 корня из 46, эти выражения будут равны
Приложения:
Вас заинтересует