• Предмет: Математика
  • Автор: Аноним
  • Вопрос задан 10 лет назад

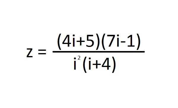
Внимание: Комплексные числа, простоВнимание: Комплексные числа, просто упростите уравнение! Должно получится что-то вроде 163-91i

Вот что нужно решить:

Приложения:

Ответы

Ответ дал: Artem112
0
 cfrac{(4i+5)(7i-1)}{i^2(i+4)} =- cfrac{28i^2-4i+35i-5}{i+4} =- cfrac{-28+31i-5}{i+4} = cfrac{33-31i}{i+4}

cfrac{33-31i}{i+4} =cfrac{(33-31i)(4-i)}{(i+4)(4-i)} =cfrac{-33i+132+31i^2-124i}{16-i^2}=
\
=cfrac{-157i+132-31}{16+1}=cfrac{101-157i}{17}
Вас заинтересует