Ответы
Ответ дал:
0
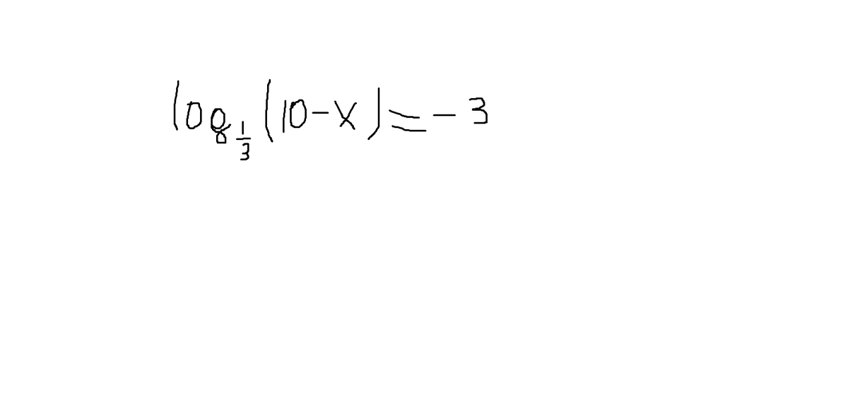
log 1/3 (10-x)=+3
10-[=(1/3)в степени -3
10-х=27
10х=37
х=3,7
10-[=(1/3)в степени -3
10-х=27
10х=37
х=3,7
Ответ дал:
0
Вот так)
Удачи тебе))))
Удачи тебе))))
Приложения:
Вас заинтересует
3 года назад
3 года назад
8 лет назад
8 лет назад
11 лет назад
11 лет назад