Выполните возведение в степень
Приложения:

tamarabernukho:
разложить на множители?
Ответы
Ответ дал:
1
Ответ:
Объяснение:
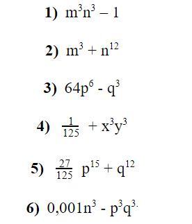
1) m³n³-1=(mn)³-1³=(mn-1)(m²n²+mn+1);
***
2) m³ + n¹² = m³ + (n⁴)³= (m+n⁴)(m²-mn⁴+n⁸);
***
3) 64p⁶ - q³ = (4p²)³ - q³= (4p²-q)(16p⁴+4p²q+q²);
***
4) 1/125 +x³y³= (1/5)³ +(xy)³ = (1/5+xy)(1/25-1/5xy + x²y²);
***
5) 27/125p¹⁵+q¹² = (3/5p⁵+q⁴)(9/25p¹⁰ - 3/5p⁵q⁴+ q⁸);
***
6) 0.001n³ - p³q³ = (0.1n-pq)(0.01n²+0.1npq+p²q²)/
Вас заинтересует
2 года назад
2 года назад
2 года назад
8 лет назад
8 лет назад
9 лет назад