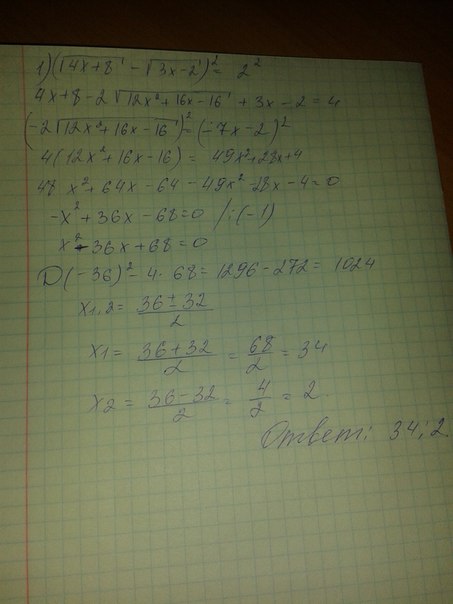
люди пожалуйста решите эти уравнения в первом ответ должен получится 34; 2 во втором уравнении 9; -2
Приложения:

Ответы
Ответ дал:
0
Вот,первое точно верно,а вот во втором ошибка у вас, потому что там не сходится.
Приложения:

Вас заинтересует
2 года назад
2 года назад
8 лет назад
8 лет назад
10 лет назад
10 лет назад
10 лет назад
10 лет назад