• Предмет: Алгебра
  • Автор: polina173777
  • Вопрос задан 3 года назад

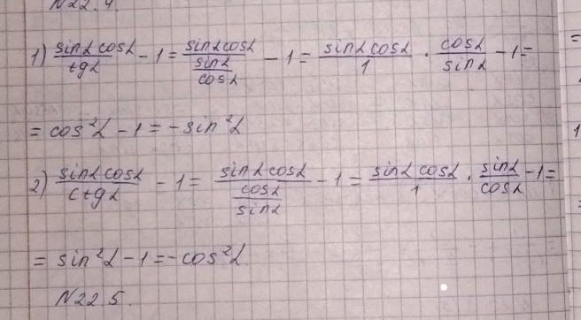
Номер 22.4 Нужно первый и второй вопрос

Приложения:

Ответы

Ответ дал: nako18
2

Ответ:

Надеюсь будет понятно

Объяснение:

это 1 и 2, 3 нет)

Приложения:
Вас заинтересует