• Предмет: Алгебра
  • Автор: romashkasofito
  • Вопрос задан 3 года назад


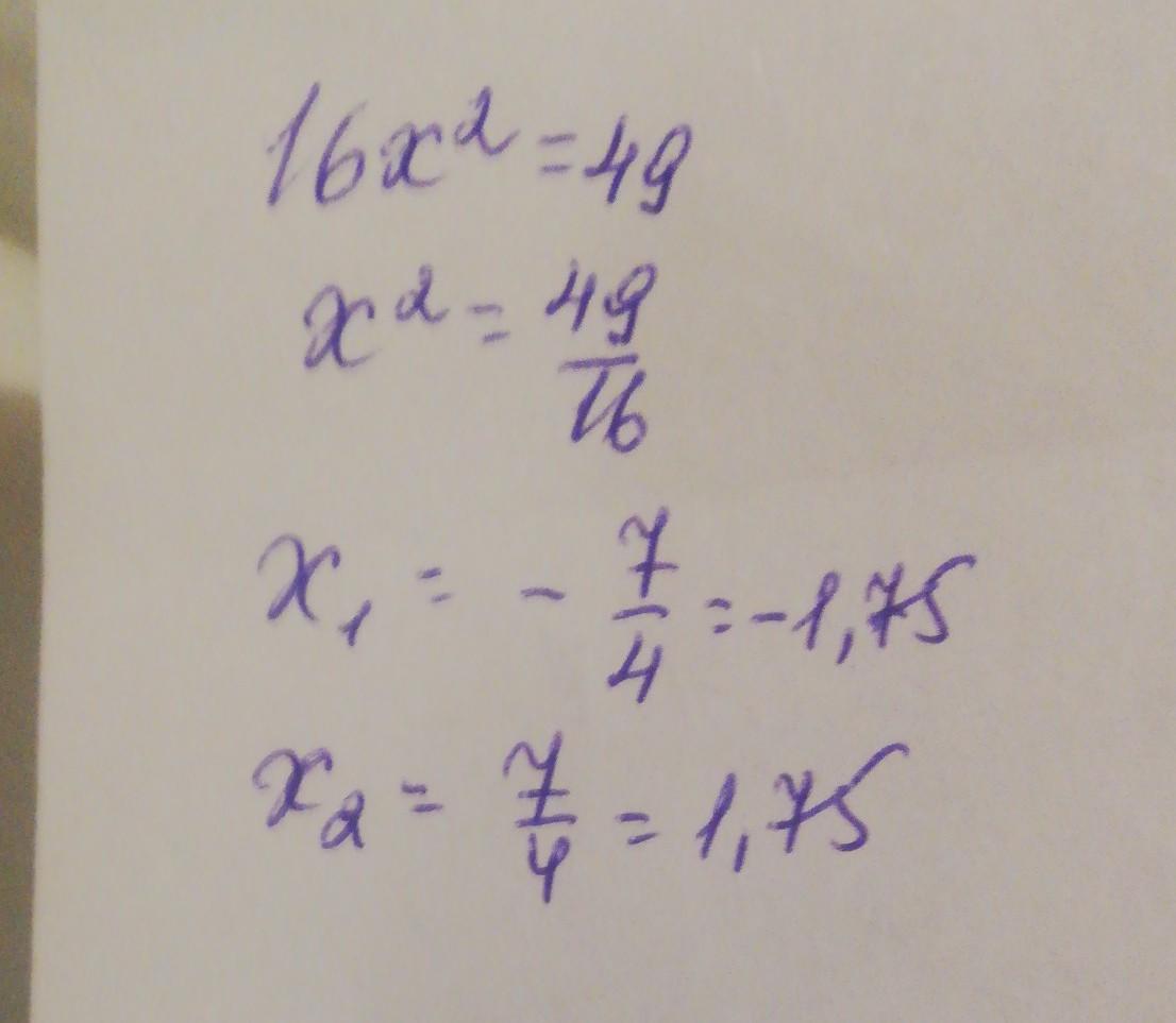
в) 16х2 = 49
Решите пожалуйста

Ответы

Ответ дал: serovaksusa1
1

Ответ:

Смотри решение на фото

Приложения:
Вас заинтересует