• Предмет: Алгебра
  • Автор: helpmeplease7226
  • Вопрос задан 3 года назад

помогите люди добрые

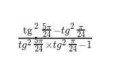
вычисли: tg^2 5п/24 - tg^2 п/24 / tg^2 5п/24 • tg^2 п/24 -1

 \frac{ \tg {^{2} }^{} \frac{5\pi}{24} - {tg}^{2} \frac{\pi}{24} }{ {tg}^{2} \frac{5\pi}{24} \times {tg}^{2} \frac{\pi}{24} - 1 }

Приложения:

Ответы

Ответ дал: manyny06
2

Ответ:

решение на фотографии

Приложения:

nistuhov001a: Там 3 ответа должно быть 1) -корень из 3/3
nistuhov001a: 2) - tg pi/6
nistuhov001a: И ещё 1 надо
Вас заинтересует