• Предмет: Математика
  • Автор: auufauuf0
  • Вопрос задан 3 года назад

пж сделайте СРОЧНО!!!!!!!пж пж пж пж ​

Приложения:

Ответы

Ответ дал: Clever46
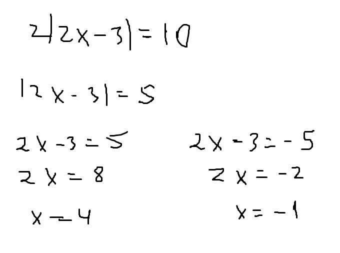
1

Ответ:

x₁=-1, x₂=4

Пошаговое объяснение:

рис.

Приложения:
Вас заинтересует