• Предмет: Алгебра
  • Автор: couchpotatotato13
  • Вопрос задан 3 года назад

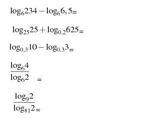
Решить логарифмы прикреплённые на фото

Приложения:

Ответы

Ответ дал: NNNLLL54
1

Ответ:

log_6234-log_66,5=log_636=log_66^2=2\\\\\\log_{25}25+log_{0,2}625=1+\dfrac{log_5625}{log_50,2}=1+\dfrac{log_55^4}{log_55^{-1}}=1+\dfrac{4}{-1}=1-4=-3\\\\\\\dfrac{log_64}{log_62}=log_24=log_22^2=2\\\\\\\dfrac{log_92}{log_{81}2}=\dfrac{log_92}{log_{9^2}2}=\dfrac{log_92}{-\frac{1}{2}\, log_92}=\dfrac{1}{-1/2} =-2

Вас заинтересует