• Предмет: Геометрия
  • Автор: 19012
  • Вопрос задан 11 лет назад

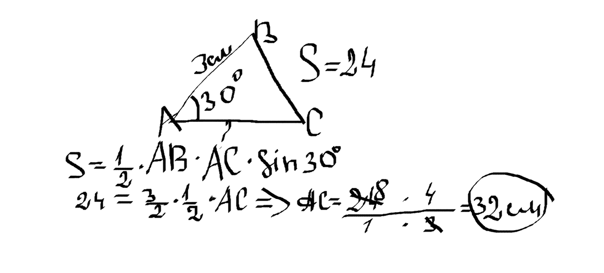
дан треугольник АБС  АВ=3 угол А =30 градусов S=24 найти АС

Ответы

Ответ дал: Аноним
0
Смотри решение во вложении)
Приложения:
Вас заинтересует