Ответы
Ответ дал:
0
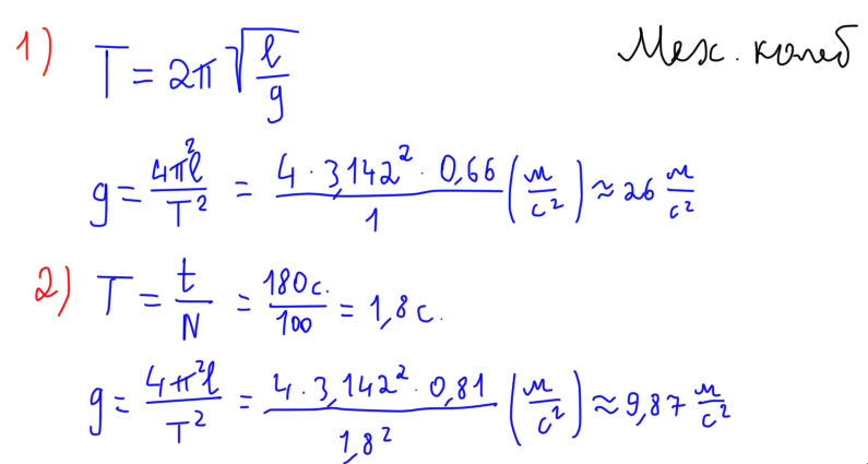
Решения на картинках. К сожалению, молярную физику не проходил еще.
Приложения:



Вас заинтересует
2 года назад
8 лет назад
10 лет назад
10 лет назад
10 лет назад