• Предмет: Математика
  • Автор: 99HOGOHY33
  • Вопрос задан 3 года назад

ПОМОГИТЕ ПЛИЗ МНЕ ОЧЕНЬ НАДО!!!!!!!!!!!!

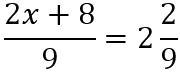
решите уравнение:

Приложения:

Ответы

Ответ дал: almazbn
1

Ответ:

2x+8=20

2x=20-8

2x=12

x=12:2

x=6

Пошаговое объяснение:


99HOGOHY33: спс парень, но откудого у тя 20
almazbn: 2 целых 2/9 =20
almazbn: чтобы перевести 9*2+2
Вас заинтересует